我用PPT复刻了《对马岛之魂》里的一个动画

来源:互联网 作者:

依旧是一些花里胡哨、可能实用性不高的东西。


《对马岛之魂》是一款开放世界动作冒险类游戏,于2020年7月发布于索尼PS平台。在我看来,这款游戏的最大亮点在于富有东方色彩的画风,不仅如此,它的动效、配乐乃至UI界面设计都相当精美,是我心目中的年度最佳游戏。

不过今天我要讲一个贯穿整个游戏的动画,就是这个标题的粒子消散效果。


达到这种渲染程度的效果往往需要专业软件来配合完成,不过利用PPT我们同样可以做出一个类似的效果,就像这样:



怎么样,是不是有种五毛钱特效的味道?

(别问为什么是草,因为图里有很多草)

那么这样的效果在PPT里面应该怎么做呢?


正片开始


 

首先我们拆分一下原动画的效果,不难发现动画分成两部分:
文字的擦除动画粒子的出现动画
原擦除动画是从左下角开始的,这一点在PPT里面貌似无法直接实现,于是我用了向右擦除进行代替;
粒子的出现也不难,可以利用口袋动画PA插件给动画时间进行随机排序来实现。
麻烦的地方在于粒子的路线规划。
(以下部分涉及动画函数)
在PPT里给粒子做随机路线的一般方式是利用rand函数规划起点和终点,这样的方法很快,但也有局限:1.路线一般是直线;2.一般是匀速运动。



稍微合成一下各种参数可以达到这样的效果:


那么怎么让粒子的运动路径变成一条比较平滑的曲线呢?接下来我来讲讲一种思路。


 

1.路径规划


 

首先引入一个概念,那就是贝塞尔曲线
贝塞尔曲线的应用极其广泛,PS里面的钢笔工具、AE里面的速率曲线乃至PPT里面的编辑顶点都是通过贝塞尔曲线实现的。贝塞尔曲线由端点,锚点以及线条组成,能够定义出两个点之间的任意一条线。


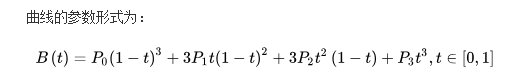
通常我们用得最多的形式是三阶贝塞尔曲线(两个端点两个锚点),它的参数方程如下:


这里t为时间插值,对应到PPT的动画函数里就是变量$,四个P点分别对应四个点的坐标,并且需要X、Y两个方向的参数方程合起来才能定义出一条贝塞尔曲线。
不过就算去掉一个方向的方程,贝塞尔曲线定义出的路线的运动速率也是比较平滑的,可以用来做出一些富有弹性的效果:


在这里推荐一个网站:
https://www.jasondavies.com/animated-bezier/
在上面可以通过手动调节锚点,绘制出1到4阶的贝塞尔曲线,还有个好处是你能实时观察到元素在曲线上的运动情况。



 

2.怎么随机?


 

解决了路径问题,再来解决第二个问题:随机

由于每对$取值一次都会重新对函数计算一次,所以公式里面不能有除了时间插值$外的第二个变量。如果直接把rand函数代入公式,运动效果就会极其鬼畜。公式里面都是常量的话,怎么实现随机呢?


在这里我提供一种“伪随机”的实现方法:先利用一个无轮廓、无填充的形状与粒子进行组合,复制一堆,再利用OK插件生成随机大小、随机宽高,然后在公式里面调用ppt-w或ppt-h参数。
这样的话,粒子本身的大小不会改变多少,但是整个形状的宽高却可以在大范围内浮动。其中的最小宽度(高度)相当于rand的最小值,最大宽度(高度)相当于rand最大值。


综合以上的思路,在一个粒子里我们可以写入这样两段公式。



这样的话整个动画的主体就成型了,然后复制个几百个,后续就只剩下各种微调:叠加各种粒子增加层次感、调节时间等等。

资讯来源说明:本文章来自网络收集,如侵犯了你的权益,请联系:puerppt#163.com进行删除。

PPT模板

  • 珍爱生命预防溺水主题班会PPT
  • 预防溺水知识PPT
  • 防溺水安全教育PPT
  • 红色主题PPT
  • 毕业答辩报告PPT
  • 重温入党誓词PPT
  • 入党誓词PPT
  • 教师自我介绍PPT

Excel模板

  • 单据粘贴单11
  • 出差申报单11
  • 出差申报单(2)1
  • 付款申请单11
  • 付款申请单(3)1
  • 入库单1
  • 领料单
  • 销售明细单1
  • 销售明细单(3)
  • 付款申请单(2)1

Word模板

  • 面试招聘
  • 社会招聘面试审批流程
  • 电话营销销售人员的招聘面试流程
  • 求职招聘登记表及面试记录表
  • 校园招聘面试结果评价表
  • 校园招聘求职者面试报告示范模板
  • 招聘面试评分记录表
  • 招聘面试评估表
  • 招聘面试评价表
  • 招聘面试记录表
优页文档

优页文档是佛山市墨豆信息科技有限公司旗下业务,优页文档(www.youyedoc.com)是一家专注于分享高质量的PPT模板、Excel表格、Word模板的下载网站,1000+各行业优质设计师每日更新200+优质办公文档模板,满足各行业办公需求。海量office文档制作教程,致力于打造国内最大最权威的办公文档下载一站式服务平台

Copyright © 2021-2026 www.youyedoc.com. All Rights Reserved.   粤ICP备2021116258号-佛山市墨豆信息科技有限公司

本站所有文档资源来源于互联网或作者上传,仅供学习研究使用,版权归作者所有,请勿用于商业用途,如果用于商业用途请联系作者,如果因为您将本站资源用于其他用途而引起的纠纷,本站不负任何责任。

如果本站内容无意中侵犯了您的版权,请联系youyedoc,我们会及时处理。